The anti-cortisol mechanism of trenbolone
-
It is known that trenbolone has anti glucocorticoid activity in animals & humans. Parabolan, an ester of trenbolone, was used in France for treating cachexia and osteoporosis, two conditions caused by elevated cortisol. In animals, it has been implanted in livestock under the name “Finajet”. It has been shown to increase growth whilst reducing fat & increasing muscle mass, as well as decreasing free tyrosine levels in muscle (an indicator for catabolism). Its proposed mechanism of anabolism is via decreasing catabolism more than protein synthesis, which also decreases.

Amino transferases and cortisol full after tren treatmentSurprisingly, when trenbolone was used in agriculture & medical settings the doses were very low. Parabolan was administered at 5mg every day (76mg / 50mg elemental weight (e.w) administered every 10 days) and Finajet was given at 2.5mg a day (200mg/160mg e.w implant 63 days before slaughter). Only half of the implant had absorbed at this point. So it is more like 1.25mg a day.
After extensive reading, it probably does this because of its androgenic, direct anti-glucocorticoid and partially because of its progestin binding affinties, as even in the presence of anti androgens, it still lowers CRH. It has roughly double the binding to the AR as DHT and similar affinity for the progesterone receptor as P4, without the ability to be metabolised by the 5AR/3a HSD enzymes, increasing it’s half life.
I have 8 mechanisms of how this potent anti-glucocorticoid activity takes place
Proven Mechanisms:
- It has been proven to lower the GR receptor expression by 75% in extremely low doses (HED:<2mg a day). In lambs, it can reduce GR receptors and binding by around 33% at potentially nanogram doses
- It binds to and antagonises the GR receptor at 3% the affinity of dexamethasone, maybe 20% of cortisol.
- It lowers CRH and lowers cortisol.
Theoretical mechanisms:
- It forms “11 hydroxy” metabolites which increase a steroids binding to the GR by double
- Likely has a longer half life than cortisol, may occupy the GR for longer
1. Lower GR expression
https://pmc.ncbi.nlm.nih.gov/articles/PMC8396102/
Trenbolone was able to reverse the rise in the GR expression caused by castration. Relative to sham (1), ORX had an expression of the GR 3.75x higher. Trenbolone reversed this and caused a 75% reduction in the GR.

Human equivalent dose is 0.162mg trenbolone enanthate or 0.1134mg e.w trenbolone per kg of b.w per week
So that is 12.96mg of elemental / 15.5mg acetate ester of tren a week for an 80kg man, to lower GR expression by 75% (if you are castrated).
Per day, that is <2mg received, which lines up with the concentrations seen in Parabolan injections; towards the end of each injection interval they were receiving low milligram of doses too from the ester being nearly fully metabolised. This also lines up with the Finajet doses.
"TBA had little affinity for the glucocorticoid receptor (RBA < 1 % , Fig. 2); thus the reduction in B was taken to indicate a reduction in actual receptor number rather than TBA reducing the availability of binding sites by competing with the 3H-labelled ligand for the receptor"
https://doi.org/10.1079/bjn198601082. GR antagonist
https://www.researchgate.net/publication/22781597_Unique_steroid_congeners_for_receptor_studies

B8 (Trenbolone) has an affinity for the GR that is 1-3% relative to dexamethasone.

Cortisol has an even higher affinity of 15 - 25%.
In theory, Trenbolone has 4 - 20% the affinity to the GR relative to cortisol.
https://doi.org/10.1079/bjn19860108
Lambs had 60mg of trenbolone acetate implanted for 20 days.
Weighing 36kg, that is a HED of 1.14mg per kg, using Chat GPTs sheep to HED calculator.
An 80kg man would be injecting 90.04mg of tren acetate for 20 daysRoughly, that is 4.5mg of tren acetate a day.


With these small doses, cortisol only had 37.5% the binding affinity to the GR and bound to the receptors 33% less tightly relative to controlHOWEVER!!!!!!!!!
Keep in mind, these were trenbolone acetate implants 20 days after implant. The half life of implants are roughly 68 - 84 days.
Only 15 - 18% of the implant had been released. That is 9-10mg.
Bro.
9-10mg/20days is roughly 0.5mg a day.0.5mg tren acetate / 36kg = 0.013mg per kg b.w
0.013*0.68 = 0.00884mg per kg a day HED
That is 700mcg of trenbolone acetate a day.Of course this assume stable release of the implant.
But either way, if you assume the full implant had been absorbed (extremely unlikely, unless the authors formulated a very fast absorbing one) or if a portion had been absorbed, the dose of trenbolone you need would be less than 40mg elemental a week.
Given that Parabolan was given at 35mg elemental weight a week; I think I am and others such as vigorous steve who started this idea, are on the right track!
The second part used a similar timing as the first part; 9-10mg released, so a similar HED of 1.14mg or 0.00884mg per kg a day

Relative to control, the trenbolone group had less receptors after 22 days, but dexamethosone did bind more tightly to the GR.
3. It lowers CRH and lowers cortisol.

In the study mentioned above, in the same doses, tren lowered total cortisol but increased free cortisol.
https://doi.org/10.1677/joe.0.0980121

At 80 micrograms a day (HED 2.5mg per kg), quite high, it lowered cortisol by up to 80%.

It lowered the corticosterone response to ACTH but did not affect the induction of TAT by dex.

https://pubs.acs.org/doi/10.1021/es8024484
CRH was lowered by 30% in this study, and did so, even when an anti androgen was added. This suggests the anti cortisol mechanism of tren is partially driven by it being a progestin and anti mineralocorticoid.Theoretical mechanisms
It forms “11 hydroxy” metabolites which increase a steroids binding to the GR by double

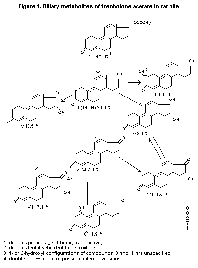
https://www.inchem.org/documents/jecfa/jecmono/v23je03.htm
Half of tren gets converted into 16a Hydroxytrenbolone in ratsWhen you add a hydroxyl group to 16a of a progestin, it can increase it's binding affinity to the GR.
For example, 16a hydroxyprogesterone is known to be more of a glucocorticoid than progesterone. The DERIVATIVE OF 16a Hydroxyprogesterone, medoxyprogesterone binds to the GR 3x as strong as progesterone.
16a Hydroxytrenbolone may bind to the GR twice as strong, and therefore, may bind to 6% the affinity as dexamethosone or 30-50% as strong as cortisol
Tren likely has a longer half life than cortisol; may occupy the GR for longer
It is an estrane steroid that is extremely unsaturated. Estrane steroids already have longer half lives; nandrolone has a half life that is 4.3 hours relative to testosterone's 20 minute half life.
The metabolism of trenbolone varies species to species; rats prefer to convert it into 16a trenbolone & trendione and heifers like to convert it into Epitrenbolone.
It's hard to estimate the affinity of trenbolone to human enzymes.
However, based off of urinany metabolites it has a half life much longer than T:
"An early Tren metabolism study used radioactive labeling and investigated the urinary excretion. Spranger and Metzler detected 54% of the radioactivity within 26 h and 63% within 72 h post Tren administration, indicating a fast elimination (Spranger and Metzler, 1991). A publication from the former Russian anti-doping laboratory published the traceability of trenbolone administrations of 32 days when employing epitrenbolone glucuronide as target analyte; similarly the trenbolone cysteine adduct was detected for 32 days. The deuterated analogs of the described metabolites were also detected in this elimination study as illustrated in Figure 10 by means of respective EIC.""Epitrenbolone was detectable for 45 h and Tren for 21 h after oral administration of 10 mg of trenbolone.. The Tren cysteine conjugate was observed for 45 h "
https://pmc.ncbi.nlm.nih.gov/articles/PMC7251174/#s3
"Sandberg and Slaunwhite, Jr. (4, 5),
have reported that after the iv administration of testosterone-4-14C to human subjects, the radioactivity was excreted in the 48-h urine almost quantitatively. The
excretion of the radioactivity was very rapid, and about
50% of the administered radioactivity was excreted in the 4 hours"https://pubmed.ncbi.nlm.nih.gov/7440707/
If testosterone IV takes 4 hours to get 50% excreted in urine, but 10mg of oral testosterone takes >26 hours to 50% excrete, then we know that trenbolone MAY have 6x the half life of testosterone.
Wikipedia claims that unesterfied trenbolone has a half life of 24-72 hours. It provides no evidence, but it may be correct.
Therefore, by being less prone to metabolism, it may occupy the GR longer than testosterone, and certainly longer than Cortisol!!