Salt!
-
My temps have gone up from barely reaching 37°C with thyroid and aspirin to constantly being over 37°C even without thyroid. All I did was increase my salt intake to about 15g/day. Just my N=1.
-
@pittybitty - 15 grams per day seems excessive and it may eventually present other downstream issues for you. I was thinking stomach cancer but this is from a quick search.

-
This post is deleted! -
-
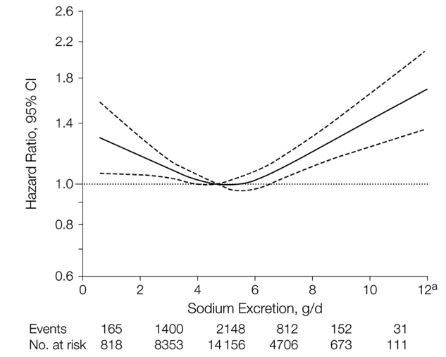
@DavidPS interesting that very high salt intake looks like an inverted U curve returning to high mortality rate. I don't think I ever get more than 4-5 g on a high salt day.
-
@Corngold - Your correct about the shape of the curve. 15 grams per day appears to be risky.

see https://chriskresser.com/shaking-up-the-salt-myth-the-dangers-of-salt-restriction/
-
AHA and ESC, the human race would like a word.
-
@DavidPS I am skeptical.
Up to 30g of dietary salt intake/day has been relatively common in the US, Europe and Japan before refrigeration, due to salted fish, pickled vegetables and salty sausages all having been staples. Cancer is a modern disease that was not prevalent at that time.
You linked a meta study so it's hard to pin down an exact methodology but consider the connection between salt and fast food in the modern age. A lot of the salty foods nowadays are fried in vegetable oil, meaning PUFA, meaning cancer. If you don't change what you eat, but simply add more salt to it there shouldn't be much risk.
I didn't choose a specific salt target btw, I simply became more generous with adding salt to my food and the 15g is where I ended up naturally. Aside from a few mistakes while learning it has been absolutely delicious.